개발새발
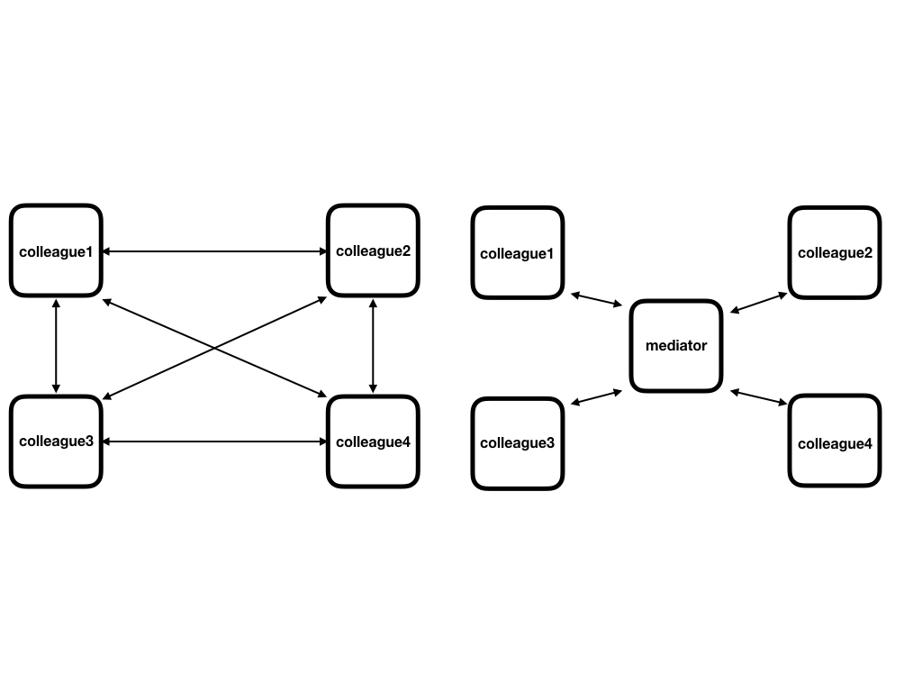
Mediator Pattern (C++)